 |
- La plupart des documents du site sont accessibles sans restriction, ni inscription.
- Toutes les corrections des exercices de type TRES FACILE et FACILE sont en libre accès.
- Seules les corrections des exercices de type MOYEN et DIFFICILE proposés sur la page d'accueil sont en libre accès.
Elles sont toutes proposées chaque année scolaire en fonction de mes progressions dans les classes où j'enseigne.
- Pour plus de fonctionnalités, dont un accès total, cliquez sur ce lien
Vous êtes en mode non connecté
|
- Seconde - Je ne peux pas ... - |
|
Liste non exhaustive de grandes fautes classiques qu'il ne faut pas faire !!!!!
Equation |
Dans une équation, il ne faut jamais simplifier par l'inconnue ( à moins d'être certain que 0 n'est pas solution, ce qui est rarement le cas).
exemple 1 (2nde)
2x2-3x = 0 ⇔ x(2x-3)=0 ... ce qui n'est pas équivalent à 2x-3=0 (Il ne faut surtout pas simplifier par x) |
Tableau de signes |
à partir de la 2nde
"Un produit de facteurs est nul si et seulement un des facteurs est nul"
Tout est écrit dans la propriété . Cette règle ne fonctionne que si le produit est nul.
Pour résoudre l'équation (x-2)(x-3)=5, il ne faut surtout pas appliquer cette règle. On est dans ce cas obligé de développer et d'utiliser les propriétés des trinômes du second degré. |
à partir de la 2nde
Les tableaux de signes ne se font que pour une comparaison avec 0.
Pour résoudre l'inéquation (x-2)(x-3)>5, il ne faut surtout pas faire un tableau de signes. On est dans ce cas obligé de développer et d'utiliser les propriétés des trinômes du second degré. |
Fonction inverse |
à partir de la 2nde
Elle n'est pas décroissante sur IR* !!!!
Elle l'est de manière indépendante sur ]-∞;0[ et sur ]0;+∞[ |
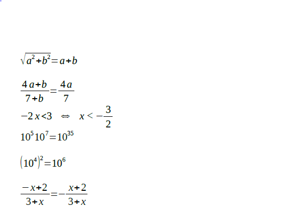
Simplifications |
Tout ceci est FAUX : (à partir du collège)
|
Conjecture |
Affirmation .... à partir du collège
Ne surtout rien affirmer !!!
On dit :
- Il semble que ...
- On conjecture que .... |
f ou f(x) |
à partir de la 2nde
On ne dit pas : f(x) est dérivable, continue,croissante, définie ...
f(x) est l'image de x !!!
On doit dire f est dérivable, continue,croissante, définie ... |
Suites |
Suites croissantes et majorées (terminale)
Si une suite est croissante et majorée, alors elle est convergente . C'EST TOUT Ne surtout pas dire vers quoi elle converge, on ne le sait pas encore !!!! |
Suites définie par Un+1=f(Un) (terminale)
Si f est croissante ou décroissante ... il ne faut surtout pas affirmer qu'il en est de même pour la suite (Un) |
Récurrence |
Pour tout n ?
Terminale
Dans une démonstration par récurrence, il ne faut jamais supposer que l'hypothèse de récurrence est vraie pour tout entier naturel n ... car alors, elle est forcément vrai pour n+1 !!!
|
|