 |
- La plupart des documents du site sont accessibles sans restriction, ni inscription.
- Toutes les corrections des exercices de type TRES FACILE et FACILE sont en libre accès.
- Seules les corrections des exercices de type MOYEN et DIFFICILE proposés sur la page d'accueil sont en libre accès.
Elles sont toutes proposées chaque année scolaire en fonction de mes progressions dans les classes où j'enseigne.
- Pour plus de fonctionnalités, dont un accès total, cliquez sur ce lien
Vous êtes en mode non connecté
|
- Seconde - Techniques et méthodes - |
|
Liste non exhaustive de techniques et méthodes à connaître à la fin du lycée (filière scientifique)
La méthode de l'escalier |
Déterminer graphiquement le coefficient directeur d'une droite
Exemple 1 ( à partir de la 2nde)
|
Exemple 2 ( à partir de la 2nde)
|
| Exercices |
- Equation Reconnaître graphiquement l'équation d'une droite |
| Exercices |
- Equation réduite d'une droite : rédaction type |
Inéquation produit et quotient : tableaux de signes |
| Exercices |
- Equations produit : à savoir faire à partir de la classe de seconde |
| Exercices |
- Equations quotient : à savoir faire à partir de la classe de seconde |
Systèmes |
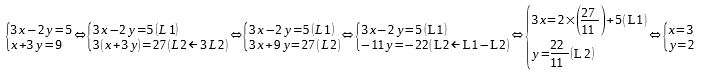
Résoudre un système par combinaison linéaire
Exemple 1 ( à partir de la 2nde)
|
Exemple 2 ( à partir de la 2nde)
|
Exemple 3 ( à partir de la 2nde)
|
Identification |
Utiliser la méthode d'identification pour un polynôme ou une fonction rationnelle
Exemple1 ( à partir de la 2nde)
|
Exemple 2 ( à partir de la 1ère)
|
Inégalités |
Ajouter, soustraire, multiplier, diviser membre à membre des inégalités ..
Inégalités et fonctions |
Justifier une inégalité grâce à un tableau de variations
Exemple 1 ( à partir de la 1ère)
|
Ajouter membre à membre |
Ajouter membre à membre des inégalités
Exemple 2 (à partir de la 1ère)
|
Exemple 2 (à partir de la 1ère)
|
Exemple 3 (à partir de la 1ère)
|
Pourcentages |
Pourcentage et coefficients multiplicateurs
Exemple 1 (à partir de la 2nde)
|
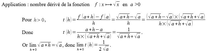
Nombre dérivé et limites |
Une belle utilisation du nombre dérivé pour calculer une limite
Exemple 1 (à partir de la Tle)
|
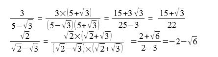
Racines carrées |
La méthode de l'expression conjuguée
Exemple 1 (à partir de la 2nde)
|
Exemple 2 (à partir de la 1ère)
|
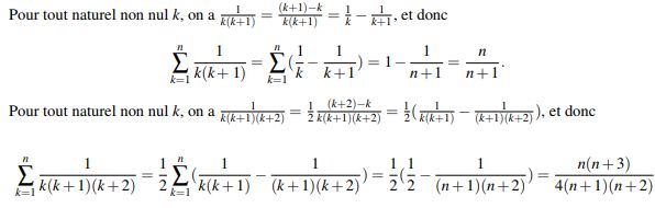
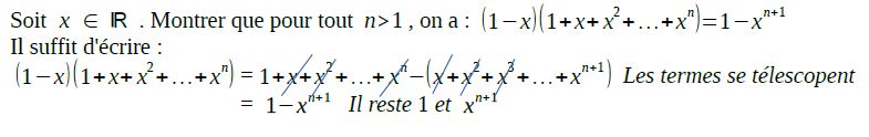
Sommes télescopiques |
Exemple 1 (à partir de la 2nde)
|
Exemple 2 (à partir de la 1ère)
|
Retrancher et ajouter la même chose ... |
Exemple 1 (à partir de la 2nde)
|
Exemple 2 (à partir de la 1ère)
|
Suites un+1=f(un) (variations) |
Variations d'une définie par un+1=f(un) où f est monotone
Forme canonique |
Bien sûr qu'il existe une formule ... qu'on oublie très vite . Le plus simple est de connaître la méthode et de mettre en évidence le début d'une identité remarquable.
Exemple 1 (à partir de seconde)
x2-2x=(x-1)2-1 ( on reconnaît le début du développement de (x-1)2 et on retranche 1 qui est en trop)
y2+6x=(y+3)2-9 ( on reconnaît le début du développement de (y+3)2 et on retranche 9 qui est en trop) |
Exemple 2 (à partir de la première)
Caractérisation de l'ensemble des points M(x;y) du plan tels que x2-8x+y2+10y=2 : x2-8x+y2+10y=2 ⇔ (x-4)2-16+(y+5)2-25=2 ⇔ (x-4)2+(y+5)2=43 On reconnaît l'équation du cercle de centre A(4;-5) et de rayon V43 (racine carrée de 43) |
|