Evaluation sur les racines carrées en temps limité
Vous avez 10 minutes pour répondre à 10 questions
C'est un questionnaire à choix multiples . Pour avoir juste, il faut sélectionner toutes les bonnes réponses.
Montrer toutes les questions
<=
=>
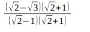
est égal à :
Vérifier
est égal à :
Vérifier
est égal à :
Vérifier
est égal à :
Vérifier
est égal à :
Vérifier
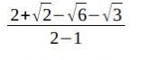
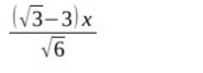
est égal à :
Vérifier
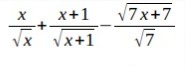
est égal à :
Vérifier
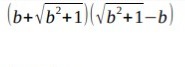
est égal à :
Vérifier
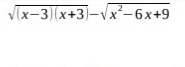
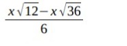
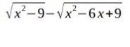
( avec x>3) est égal à :
Vérifier
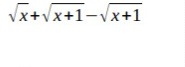
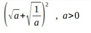
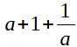
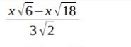
( avec x>0) est égal à :
Vérifier
OK