Evaluation sur le produite en croix en temps limité
Vous avez 12 minutes pour répondre à 10 questions
C'est un questionnaire à choix multiples . Pour avoir juste, il faut sélectionner toutes les bonnes réponses.
Montrer toutes les questions
<=
=>
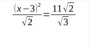
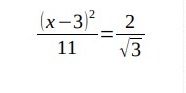
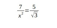
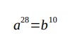
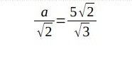
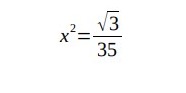
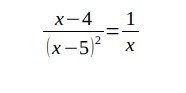
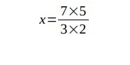
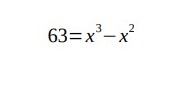
est équivalent à :
Vérifier
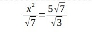
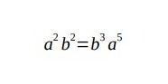
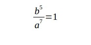
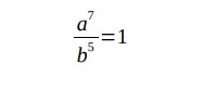
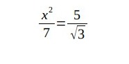
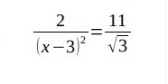
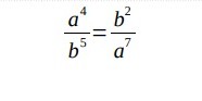
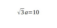
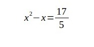
est équivalent à :
Vérifier
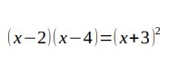
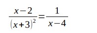
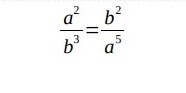
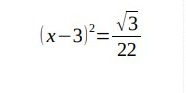
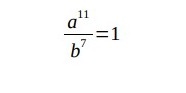
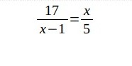
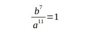
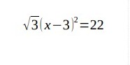
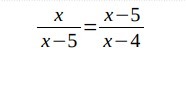
est équivalent à :
Vérifier
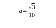
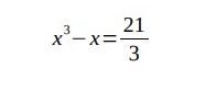
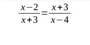
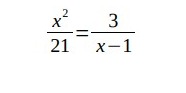
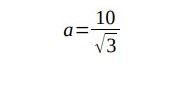
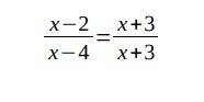
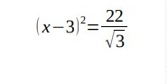
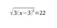
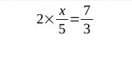
est équivalent à :
Vérifier
est équivalent à :
Vérifier
est équivalent à :
Vérifier
est équivalent à :
Vérifier
est équivalent à :
Vérifier
est équivalent à :
Vérifier
est équivalent à :
Vérifier
OK