Evaluation sur la factorisation
Vous avez 10 minutes pour répondre à 10 questions
Une réponse seulement est juste. J'attends la meilleure factorisation possible. Les réponses proposées sont toutes des pistes de travail justes ou fausses ... à vous de choisir le résultat final attendu
Montrer toutes les questions
<=
=>
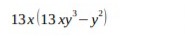
Donner la meilleure factorisation de :
?
?
?
?
?
?
?
Donner la meilleure factorisation de :
?
?
?
?
?
?
?
Donner la meilleure factorisation de :
?
?
?
?
?
?
?
Donner la meilleure factorisation de :
?
?
?
?
?
?
?
Donner la meilleure factorisation de :
?
?
?
?
?
?
?
Donner la meilleure factorisation de :
?
?
?
?
?
?
?
Donner la meilleure factorisation de :
?
?
?
?
?
?
?
Donner la meilleure factorisation de :
?
?
?
?
?
?
?
Donner la meilleure factorisation de :
?
?
?
?
?
?
?
Donner la meilleure factorisation de :
?
?
?
?
?
?
?
OK