Evaluation sur le développement
Vous avez 10 minutes pour répondre à 10 questions
Une réponse seulement est juste. J'attends le meilleur développement possible (forme développée, réduite et ordonnée). Les réponses proposées sont toutes des pistes de travail justes ou fausses ... à vous de choisir le résultat final attendu
Montrer toutes les questions
<=
=>
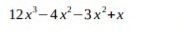
Donner le meilleur développement de :
?
?
?
?
?
?
?
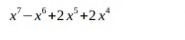
Donner le meilleur développement de :
?
?
?
?
?
?
?
Donner le meilleur développement de :
?
?
?
?
?
?
?
Donner le meilleur développement de :
?
?
?
?
?
?
?
Donner le meilleur développement de :
?
?
?
?
?
?
?
Donner le meilleur développement de :
?
?
?
?
?
?
?
Donner le meilleur développement de :
?
?
?
?
?
?
?
Donner le meilleur développement de :
?
?
?
?
?
?
?
Donner le meilleur développement de :
?
?
?
?
?
?
?
Donner le meilleur développement de :
?
?
?
?
?
?
?
OK