Evaluation sur les fractions
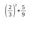
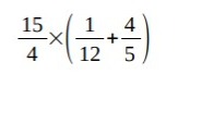
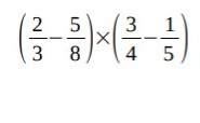
Faites correspondre les éléments de droite avec les éléments de gauche.
Vérifier
OK