Evaluation sur les équations de niveau collège
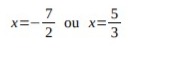
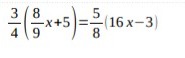
Faites correspondre les éléments de droite avec les éléments de gauche.
Vérifier
OK